Industry analysis is beneficial for conducting a marketplace analysis based upon your company’s line of production.
Since you have the ability to understand the marketplace to evaluate the potential of building sales, earnings as well as deficits, you just have to download a free industry analysis template and make use of it to gather because much info about the marketplace.
Generally, information relating to the selling potential scale of the product or service is going into this template.
Industry Analysis
The industry analysis templates would become the most important files that should be with the administration and administration departments.
When the analysis is carried out, they are going to have to lead toward the report with valid and relevant information. Telling something well planned and known varies from simultaneous data gathering.
Industry Analysis Template
Popular Industry Research and Analysis Models
There are a few of popular ones, each taking a different strategy to industry analysis.
-
SWOT analysis
A SWOT analysis is among the more popular analysis models. SWOT, which means strength, some weakness, opportunities and threats, shows up specifically in the company’s inner advantages and weak points, and exterior Forces that can jeopardize your organization.
-
Competitive Forces Model
This model, also called Porter’s Five Forces, is usually among the older and more popular industry analysis models. Created by Michael Porter in 1980, the Competitive Forces model jobs business owners with ignoring their competitor’s immediate activities to rather look in what five Forces may influence the marketplace.
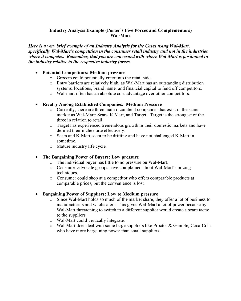
Industry Analysis Example
What is an Industry Analysis Report?
Based upon which industry your organization goes to, before you even select to get into a market, you require to get an industry analysis report. The report will talk about:
- Market position
- supply outlook And Short- and long-term demand
- the region industry structure
- Country specific report s
- Profitability vs. Cost
- The political situation, regulatory environment, financial and capital markets, etc.
- competitor analysis
The industry analysis report would provide both a macro-level when it comes to economic conditions of the countries and the region and micro-level in conditions of market analysis, potential audience, etc.
Industry Analysis Sample
Two Principal Methods Businesses Conduct An Industry Analysis
There are two primary strategies Businesses may make use of to conduct an industry analysis.
-
Quantitative Analysis
The 1st is a quantitative analysis, which entails the utilization of numerical predicting to evaluate data.
-
Qualitative Analysis
The second is a qualitative analysis, which usually needs owners to make use of their own view when critiquing information.
How do you write an Industry Analysis?
Once you have evaluated your competitors’ talents and disadvantages, you are able to identify and implement methods of increase your business.
Here are the steps required to conduct an extensive industry analysis:
-
Prepare
Detailed research the 1st step in an industry analysis. Generally, Businesses possess the choice of possibly employing an outside business to collect data or executing their have study. Luckily, a great offer of competitor research can be utilized very easily if you understand where to appear.
If you determine to DIY, start simply by putting with each other a list of your competitors. Pursuing determine the questions you would like to answer in your analysis. Probably the most common queries might include:
- What service s do my competitors offer and products?
- Execute my competition target the same market segments and audiences I perform?
- Are my competitors making money?
- How fast are my competitors growing?
Businesses should assess where their competitors rank upon elements like client service, quality of goods, and prices. The goal can be to eventually determine just how you are able to compete with business leaders whilst attaining the needed profits.
-
Analyzing Your Competitors
Once you’ve decided the goals of your analysis, it is the time intended for you to collect data. While you may collect a lot of useful details from supplementary resources like diary content articles and advertising reports h, do not neglect much less apparent recommendations, this kind of since competitor advertisements and product pamphlets. These types of files may offer useful insight into competitors’ prices, along with their marketing finances and many marketable product features.
In addition, take time to look in competitors’ financial data and income. Feel free to check out competitors with brick-and-mortar places. As you ought to avoid unethical info-gathering techniques, requesting additional company owners’ questions while if you had been a customer is certainly a broadly approved practice to get conducting an industry analysis. You may also notice product positioning inside the store because well since purchase a couple of items to observe just how they build up against your own.
-
Analyzing Competitor Data
After collecting competitor data from various places, you may begin analyzing it to create findings. The objective is usually to verify your competitors’ strengths and weaknesses while Analyzing simply how your personal business piles up.
An essential part of the analysis step requires assessing and testing a physical product or service itself. Begin by list the extremely best features of your various products or services t. Next, notice whether your competitors present those features. Pay close attention to the product h or service t your focus on audience sights is the majority of essential. Additionally, you ought to take note of just how good all those features function and whether clients feel that these types of benefits fulfill their current needs.
Exist things you’re offering that are much better than the competition, or vice versa? This solution can help you provide a better product or service. Stay up today with your customers’ great and poor factors and look pertaining to locations exactly where your firm can sparkle.
-
Analyzing your position
Analyzing competitors’ capabilities and failings via SWOT analysis also enables you to determine your very own place in the industry. (More about SWOT inside the following section.) Along with pinpointing advantages your firm offers more than the competition, you may recognize long-term complications and change strategies appropriately prior to the problems become a recession.
For example, you might have to revise prices, add features or explore different market segments for your goods to remain forward. The objective is to line up your industry analysis by having market research of your concentrate on clients, so that you may make the most informed decisions ongoing to move forward.
You can’t arrange for your company’s future efficiently until you determine just how your collection up to your competition. Extensive industry analysis is crucial to achieving achievement in the industry globe. Simply by assessing your competitors, you are capable to determine marketplace niche categories and determine out exactly what your concentrate on client’s desire.






































